一站式实验室

整体解决方案服务商

咨询

电话

851-2569016

13809460779

内页banner

产品中心

当前位置: 首页> 产品中心> 香料

联系我们Contact Us

贵州清镇瑞日精细化工有限责任公司

手 机:13809460779

座 机:0851-2569016

邮 箱:contcat@eschemical.com

网 址:www.eschemical.com

地 址:贵阳市清镇市干河坝村

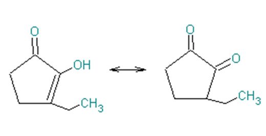
乙基环戊烯醇酮(ECP)

来源:贵州清镇瑞日精细化工有限责任公司 发布时间:2024-06-13 浏览:2750次

乙基环戊烯醇酮(ECP)

3-乙基-2-羟基-2-环戊烯-1-酮

P003

分子式:C7H10O2

分子量:126

纯度:>99%

熔点:38-40℃

外观:白色结晶

管理情况:FEMA NO.3152

香气和性质:具有焦糖和椰子的香味。味甘且回香,有韵味,令人愉快和兴奋。

用途:作为食用香料,可使食品获得极好的风味,同时具有增香、增甜的作用。作为烟用香料。能改善烟叶的香料,能改善烟叶的香味和吃味,提高烟叶档次和香烟质量。


上一篇:二氢茉莉酮

电话:13809460779   0851-2569016

邮箱:contact@eschemical.com

地址:贵阳市清镇市干河坝村

手机网站

手机网站